www.fritsch.de
 

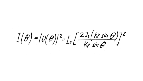
Fraunhofer theory describes the portion of light deflection that occurs exclusively as a result of diffraction.

If light encounters an obstacle for example a particle this results amongst other things in diffraction. If the incoming light is parallel (even wave fronts), this is referred to as Fraunhofer diffraction. This is always the case if the light source is located at infinity or is ”shifted“ there by a lens.

Since for sufficiently large particles the light deflection is dominated by diffraction, Fraunhofer theory can be used for particle size distribution down to the lower micrometre range. One major advantage of Fraunhofer theory lies in the fact that no knowledge of the optical properties of the examined material is required.

The Fraunhofer theory represents an approximation of the Mie theory. With particle diameters too small this approximation is inadmissible and the complete Mie theory must be utilized for the calculation of the measuring data.